New Mexico Board Of Nursing Template

New Mexico Board Of Nursing Template

The New Mexico Board of Nursing form is a crucial document for individuals whose nursing licenses or certifications have expired or lapsed. This form requires you to affirm your situation regarding your license and disclose any work undertaken during the lapse period. To ensure compliance with state regulations, complete the form accurately and submit it promptly by clicking the button below.

Table of Contents

The New Mexico Board of Nursing form for the Attestation of Expired or Lapsed License/Certificate is a crucial document for nursing professionals in the state. It serves as a formal declaration by the licensee regarding the status of their nursing license or certification. The form requires the individual to provide their name, date of birth, and the reason for the expiration or lapse of their license. Additionally, it includes a section where the licensee must confirm whether they have worked in New Mexico or any compact state since their license expired. This is vital for maintaining compliance with state regulations. If the individual has worked, they must provide details about their supervisor, including contact information, and submit payroll records to substantiate their claims. The form emphasizes the importance of timely submission, stating that all documents must be returned to the New Mexico Board of Nursing within five business days of the renewal application submission. Failure to comply can lead to disciplinary actions. Finally, the licensee must affirm the accuracy of their statements, acknowledging that any misrepresentation may result in further investigation. This form is essential for ensuring that nursing professionals uphold the standards required for licensure in New Mexico.

New Mexico Board Of Nursing Sample

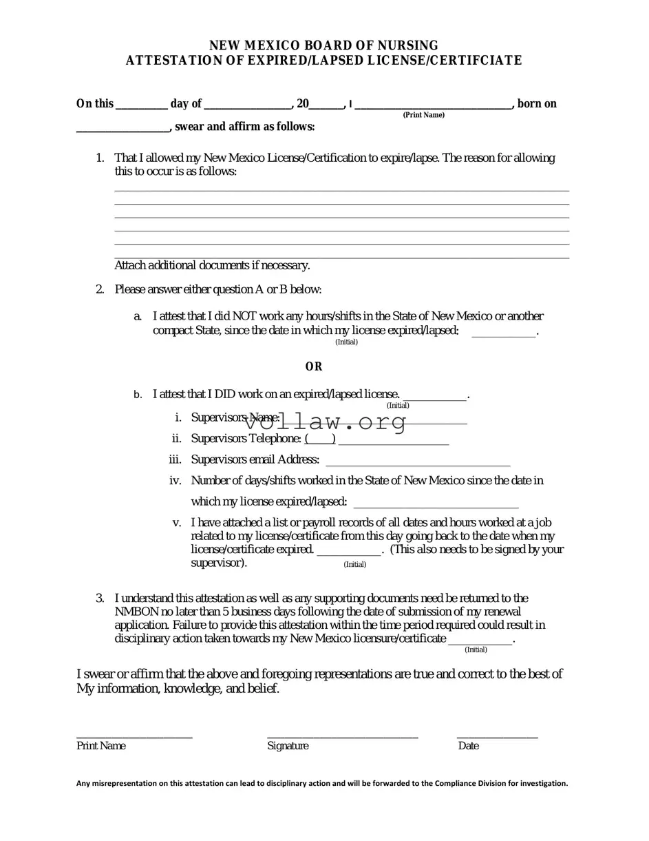
NEW MEXICO BOARD OF NURSING

ATTESTATION OF EXPIRED/LAPSED LICENSE/CERTIFCIATE

On this _________ day of _______________, 20______, I ___________________________, born on

(Print Name)

________________, swear and affirm as follows:

1.That I allowed my New Mexico License/Certification to expire/lapse. The reason for allowing this to occur is as follows:

______________________________________________________________________________

______________________________________________________________________________

______________________________________________________________________________

______________________________________________________________________________

______________________________________________________________________________

______________________________________________________________________________

Attach additional documents if necessary.

2.Please answer either question A or B below:

a.I attest that I did NOT work any hours/shifts in the State of New Mexico or another compact State, since the date in which my license expired/lapsed: ___________.

(Initial)

OR

b.I attest that I DID work on an expired/lapsed license. __________.

(Initial)

i.Supervisors Name: _____________________________

ii. Supervisors Telephone: (

) ___________________

 

 

 

 

iii.Supervisors email Address: _____________________________

iv.Number of days/shifts worked in the State of New Mexico since the date in which my license expired/lapsed: __________________________

v.I have attached a list or payroll records of all dates and hours worked at a job related to my license/certificate from this day going back to the date when my license/certificate expired. ___________. (This also needs to be signed by your

supervisor).(Initial)

3.I understand this attestation as well as any supporting documents need be returned to the NMBON no later than 5 business days following the date of submission of my renewal application. Failure to provide this attestation within the time period required could result in disciplinary action taken towards my New Mexico licensure/certificate ___________.

(Initial)

I swear or affirm that the above and foregoing representations are true and correct to the best of My information, knowledge, and belief.

____________________

__________________________

______________

Print Name

Signature

Date

Any misrepresentation on this attestation can lead to disciplinary action and will be forwarded to the Compliance Division for investigation.

Document Attributes

Fact Name Description
Document Title This form is titled "Attestation of Expired/Lapsed License/Certificate" and is issued by the New Mexico Board of Nursing.
Purpose The form is used to declare the status of a nursing license or certification that has expired or lapsed, along with any work performed during that time.
Governing Laws The form is governed by the New Mexico Nursing Practice Act, specifically NMSA 1978, § 61-3-1 through § 61-3-31.
Submission Deadline Attestations must be returned to the New Mexico Board of Nursing within five business days of submitting a renewal application.
Work Declaration Licensees must indicate whether they worked during the period their license was expired or lapsed and provide details if applicable.
Supervisor Information If applicable, the form requires the name, telephone number, and email address of the supervisor overseeing the work done during the expired period.
Consequences of Misrepresentation Any false statements on the form may lead to disciplinary action and referral to the Compliance Division for further investigation.

New Mexico Board Of Nursing: Usage Instruction

To complete the New Mexico Board of Nursing form, you will need to provide accurate information about your expired or lapsed license or certificate. After filling out the form, ensure that you submit it along with any required supporting documents within the specified timeframe.

  1. Write the current date in the first blank space.
  2. Print your full name in the second blank space.
  3. Enter your date of birth in the designated area.
  4. In the first section, explain why your New Mexico License/Certification expired or lapsed. Use additional paper if necessary.
  5. In the second section, choose either question A or B and provide your initials in the space provided.
  6. If you choose question B, fill in the following details:
    • Supervisor's name.
    • Supervisor's telephone number.
    • Supervisor's email address.
    • Number of days or shifts worked since your license expired or lapsed.
    • Attach a list or payroll records of all dates and hours worked, signed by your supervisor.
  7. Read the statement regarding the submission deadline and initial it.
  8. Sign and date the form at the bottom.

Frequently Asked Questions

  1. What is the purpose of the New Mexico Board of Nursing Attestation of Expired/Lapsed License/Certificate form?

    This form is required for individuals whose New Mexico nursing license or certification has expired or lapsed. It serves to formally attest the reasons for the lapse and to confirm whether the individual worked during the period their license was not active. The information provided helps the New Mexico Board of Nursing assess compliance with state regulations.

  2. What information do I need to provide on the form?

    When completing the form, you will need to provide:

    • Your name and date of birth.
    • The reason for allowing your license to expire or lapse.
    • Confirmation of whether you worked during the period your license was expired or lapsed.
    • If applicable, details about your supervisor, including their name, telephone number, and email address.
    • The number of days or shifts worked in New Mexico since your license expired.
    • Any supporting documents, such as payroll records or a list of dates and hours worked, which must be signed by your supervisor.
  3. What happens if I do not submit the attestation form on time?

    The completed attestation form, along with any supporting documents, must be returned to the New Mexico Board of Nursing within 5 business days after submitting your renewal application. Failure to meet this deadline may result in disciplinary action against your nursing license or certification. It is crucial to adhere to this timeline to maintain compliance with state regulations.

  4. What are the consequences of misrepresentation on the attestation form?

    Any misrepresentation or false information provided on the attestation can lead to serious consequences, including disciplinary action. Such cases will be forwarded to the Compliance Division for investigation. It is essential to provide accurate and truthful information to avoid potential penalties or repercussions regarding your nursing license or certification.

Common mistakes

Filling out the New Mexico Board of Nursing form is a critical step for individuals seeking to renew their nursing license or certification. However, several common mistakes can complicate this process. One frequent error involves the failure to provide a complete and accurate explanation for the expiration or lapse of the license. Individuals often underestimate the importance of this section. A vague or incomplete response may raise red flags and lead to unnecessary complications.

Another common mistake is neglecting to choose between options A or B in the attestation section. Some applicants mistakenly assume that they can provide information for both options, which can create confusion. It is essential to clearly indicate whether one has worked during the lapse period or not. This choice must be initialed, and any ambiguity can result in delays or potential disciplinary actions.

Additionally, individuals frequently overlook the requirement to provide contact information for their supervisor if they have worked while their license was expired. This includes the supervisor's name, telephone number, and email address. Failing to include this information can hinder the verification process and may lead to further inquiries from the Board. Proper documentation is crucial to support the claims made in the attestation.

Finally, many applicants do not pay adequate attention to the submission timeline. The form explicitly states that the attestation and supporting documents must be returned within five business days following the submission of the renewal application. Ignoring this deadline can result in disciplinary actions against the license or certification. Timeliness is a vital aspect of compliance with the Board's requirements.

Documents used along the form

The New Mexico Board of Nursing form is a critical document for nursing professionals whose licenses have expired or lapsed. When submitting this form, individuals often need to accompany it with additional documentation. Here are some commonly used forms and documents that may be required alongside the New Mexico Board of Nursing form.

  • Renewal Application: This is the primary form that nursing professionals submit to request the renewal of their expired or lapsed license. It typically includes personal information, details about continuing education, and any required fees.
  • Proof of Continuing Education: Many states, including New Mexico, require nurses to complete a certain number of continuing education hours before renewing their license. This document verifies that the nurse has met those requirements.
  • Employment Verification Letter: If the nurse has worked during the period of license expiration, a letter from the employer may be necessary. This letter should confirm the dates of employment and the nature of the work performed.
  • Payroll Records: Along with the employment verification letter, payroll records may be needed to substantiate the hours worked during the lapse period. This documentation provides a detailed account of the shifts and hours worked.
  • Supervisor's Statement: A signed statement from a supervisor may be required if the nurse worked while their license was expired. This statement should affirm the nurse's role and responsibilities during that time.
  • Personal Statement: Some nurses may choose to submit a personal statement explaining the circumstances that led to the lapse in their license. This can provide context and demonstrate accountability to the Board.

Gathering these documents can help streamline the renewal process and ensure compliance with the New Mexico Board of Nursing's requirements. Properly completing and submitting all necessary forms can prevent potential disciplinary action and facilitate the reinstatement of nursing credentials.

Similar forms

The New Mexico Board of Nursing form serves a specific purpose regarding the attestation of expired or lapsed licenses or certificates. Several other documents share similarities with this form in terms of their structure and intent. Below are four such documents:

  • State Medical Board License Renewal Form: This document also requires individuals to affirm the status of their medical license, including any lapses. It demands similar personal information and an explanation for the lapse, along with an attestation regarding work performed under the expired license.
  • Professional Certification Renewal Application: Like the nursing form, this application asks for verification of a professional's certification status. It includes sections for personal details, reasons for lapses, and attestation of compliance with continuing education requirements.
  • Continuing Education Compliance Form: This form is used by various professional boards to confirm that individuals have met their continuing education obligations. It requires similar affirmations and may include details about any lapses in licensure or certification, emphasizing the importance of compliance.
  • Affidavit of Employment Verification: This document serves to confirm employment status and details related to licensure. It also requires signatures from supervisors and attests to the accuracy of the information provided, paralleling the accountability aspects found in the New Mexico Board of Nursing form.

Each of these documents emphasizes the importance of maintaining licensure and compliance with state regulations. They also highlight the need for transparency and accountability in professional practices.

Dos and Don'ts

When filling out the New Mexico Board of Nursing form, it’s important to follow specific guidelines to ensure your application is processed smoothly. Here are ten things to keep in mind:

  • Do read the entire form carefully before starting.
  • Do provide accurate and truthful information.
  • Do include your full name and date of birth as requested.
  • Do clearly state the reason for your license's expiration or lapse.
  • Do attach any necessary documents that support your claims.
  • Don’t leave any sections blank; complete all required fields.
  • Don’t forget to initial where indicated, especially in questions A or B.
  • Don’t submit the form without verifying the information for accuracy.
  • Don’t delay in returning the form; adhere to the 5 business days requirement.
  • Don’t misrepresent any information, as this can lead to disciplinary action.

Following these guidelines will help ensure that your application is complete and accurate, reducing the likelihood of delays or complications.

Misconceptions

Understanding the New Mexico Board of Nursing (NMBON) form can be challenging, especially with the various misconceptions that often arise. Here are seven common misunderstandings:

  • Misconception 1: The form is only for those who have worked with an expired license.
  • This is not true. The form is required for anyone whose license has expired or lapsed, regardless of whether they worked during that time.

  • Misconception 2: Submitting the form is optional.
  • In reality, submitting this form is mandatory if your license has expired. Failing to do so can lead to disciplinary action.

  • Misconception 3: You can submit the form at any time after your license has expired.
  • The form must be submitted within five business days of your renewal application. Delays can result in serious consequences.

  • Misconception 4: You don’t need to provide any documentation if you haven’t worked.
  • Even if you haven't worked, you still need to complete the form and provide an explanation for the lapse in your license.

  • Misconception 5: The supervisor's information is not necessary if you didn’t work.
  • Incorrect. If you worked during the lapse, providing your supervisor's details is crucial. If you didn't work, you simply need to indicate that on the form.

  • Misconception 6: The form can be filled out casually without careful consideration.
  • This is a serious document. Misrepresentations can lead to disciplinary action, so it’s important to be accurate and honest.

  • Misconception 7: Once the form is submitted, there’s no follow-up required.
  • After submission, you may need to follow up or provide additional documentation if requested by the NMBON.

Being aware of these misconceptions can help ensure a smoother process when dealing with the New Mexico Board of Nursing. Always take the time to read and understand the requirements fully.

Key takeaways

When filling out and using the New Mexico Board of Nursing form, it's important to keep several key points in mind. Here are nine takeaways to consider:

  • Understand the Purpose: This form is used to attest to the expiration or lapse of your nursing license or certification in New Mexico.
  • Complete the Attestation: Clearly state the reason for your license's expiration or lapse. Be thorough in your explanation.
  • Choose the Correct Option: You must indicate whether you worked while your license was expired or lapsed. This is done by selecting either option A or B.
  • Provide Supervisor Information: If you worked on an expired license, include your supervisor's name, contact number, and email address.
  • Document Work Hours: Clearly list the number of days or shifts worked in New Mexico since your license expired. This information is crucial.
  • Attach Supporting Documents: Include any necessary payroll records or lists of dates and hours worked, ensuring your supervisor signs these documents.
  • Adhere to Submission Deadlines: Return the completed form and any supporting documents to the New Mexico Board of Nursing within 5 business days of your renewal application submission.
  • Be Honest: Ensure all information provided is accurate. Misrepresentation can lead to serious disciplinary action.
  • Sign and Date: Don’t forget to sign and date the form, affirming that the information is true to the best of your knowledge.

By following these guidelines, you can ensure that your attestation is complete and submitted correctly, minimizing the risk of complications with your nursing license.