Dr14 Template

Dr14 Template

The Florida Certificate of Exemption (DR-14) allows Indiana University to make purchases without incurring sales tax, as authorized by Florida law. This form must be issued to vendors when the University is the direct purchaser and payer of record, ensuring that all purchases benefit the institution exclusively. To take advantage of this exemption, complete the form by clicking the button below.

Table of Contents

When navigating the complexities of tax exemptions in Florida, the DR-14 form plays a crucial role for institutions like Indiana University. This certificate of exemption allows the university to make purchases and leases without incurring sales tax, a significant financial advantage. According to Florida law, specifically section 212.08(7) of the Florida Statutes, Indiana University is recognized as a direct purchaser and payer of record. To qualify for this exemption, the university must ensure that all transactions are directly invoiced and charged to it, with payments made through either check or credit card. It’s essential to note that purchases made using the DR-14 form must exclusively benefit the university and cannot be utilized for the personal gain of any university officer, member, or employee. Furthermore, these purchases must directly support the university's mission and be related to its exempt purposes. Vendors must receive a copy of the Florida Consumer's Certificate of Exemption to process these transactions correctly, ensuring compliance with state regulations while maximizing the university's resources.

Dr14 Sample

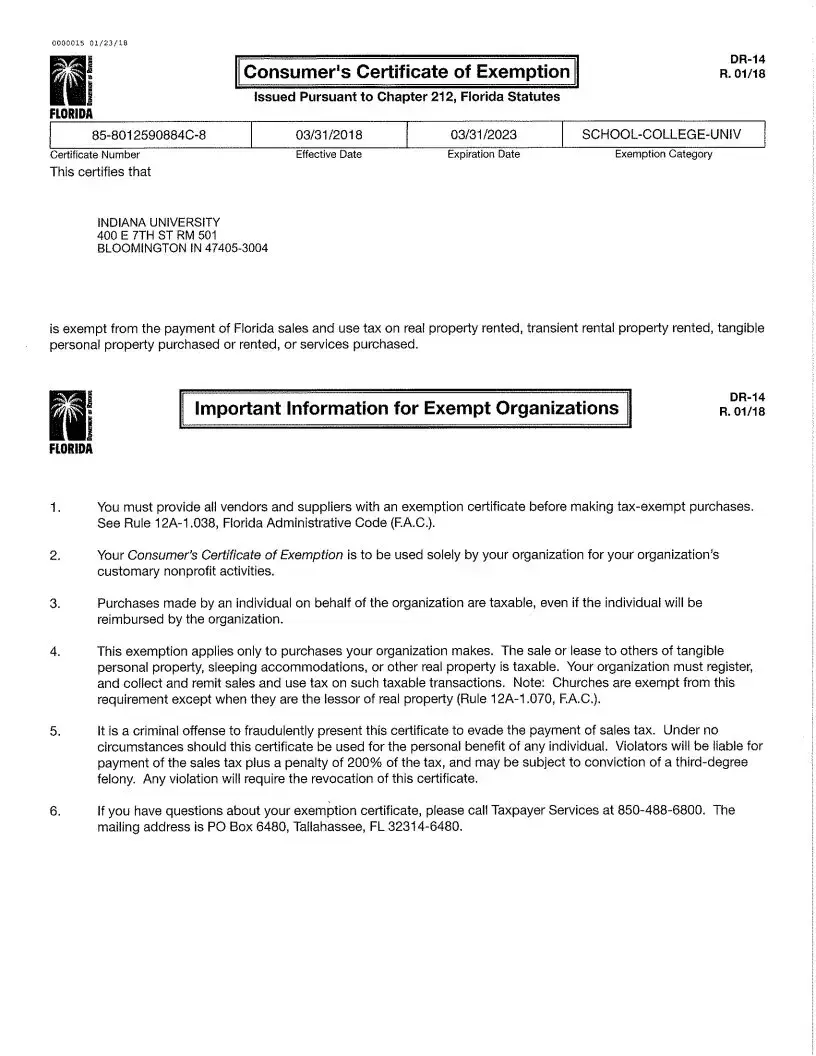
FLORIDA CERTIFICATE OF EXEMPTION (DR‐ 14)

***For internal Indiana University use only***

NOTE: According to Florida section 212.08(7), Florida Statutes (F.S.), Indiana University is authorized to make purchases and leases for its exclusive use without paying sales tax. The University must issue the attached certificate to vendors when purchasing tangible personal property or taxable services to qualify for the exemption.

Indiana University must be the direct purchaser and payer of record. Purchases must be made in the following manner:

o Are directly invoiced and charged to Indiana University, and o Are directly paid by Indiana University via

check,

credit card

All purchases made using Form DR‐14 must benefit the University only. The form may not be used for the benefit of any officer, member, or employee of Indiana University.

The purchases must be made for use in carrying on the work of the organization and directly related to the University’s exempt purpose.

INSTRUCTIONS:

Provide a copy of the Florida Consumer's Certificate of Exemption to vendors

Document Attributes

Fact Name Details
Purpose of Form The DR-14 form serves as a Certificate of Exemption for Indiana University, allowing it to make tax-exempt purchases in Florida.
Governing Law This form is governed by Florida Statute 212.08(7), which outlines the conditions under which certain entities may be exempt from sales tax.
Eligibility Only Indiana University is eligible to use the DR-14 form for tax-exempt purchases. The purchases must be made for the University's exclusive use.
Payment Requirements Purchases must be directly invoiced and charged to Indiana University. Payments should be made through methods such as checks or credit cards issued by the University.
Restrictions on Use The DR-14 form cannot be used for purchases benefiting any officer, member, or employee of Indiana University. It is strictly for University-related expenses.
Beneficiary of Purchases All purchases made with the DR-14 form must directly benefit Indiana University and be related to its exempt purpose.
Vendor Instructions Vendors must receive a copy of the Florida Consumer's Certificate of Exemption when the DR-14 form is presented to ensure the tax exemption is honored.

Dr14: Usage Instruction

Filling out the DR14 form is straightforward. After completing the form, you will provide it to vendors when making purchases on behalf of Indiana University. This ensures that you can make tax-exempt purchases for the university's needs.

  1. Start by obtaining the DR14 form from the appropriate source.
  2. Fill in the name of Indiana University in the designated area.
  3. Include the address of Indiana University where indicated.
  4. Provide the Florida Consumer's Certificate of Exemption number.
  5. Clearly state the purpose of the purchase to show it is for university use.
  6. Sign and date the form at the bottom.
  7. Make copies of the completed form for your records.
  8. Present the original form to the vendor when making a purchase.

Frequently Asked Questions

  1. What is the DR-14 form?

    The DR-14 form is the Florida Certificate of Exemption. It allows Indiana University to make purchases and leases without paying sales tax, as authorized by Florida law. This exemption is specifically for the university's exclusive use.

  2. Who is eligible to use the DR-14 form?

    Only Indiana University is eligible to use the DR-14 form. The university must be the direct purchaser and payer of record for the transactions. This means that purchases must be invoiced and charged directly to the university.

  3. How should purchases be made using the DR-14 form?

    Purchases must be made in a manner that ensures they are directly invoiced and charged to Indiana University. Payments can be made via check or credit card, but must be processed through the university's financial systems.

  4. Can the DR-14 form be used for personal purchases?

    No, the DR-14 form cannot be used for personal purchases. All transactions must benefit Indiana University exclusively and cannot be for the benefit of any officer, member, or employee of the university.

  5. What types of purchases qualify for the DR-14 exemption?

    Purchases must be related to the work of Indiana University and directly connected to its exempt purpose. This includes tangible personal property and taxable services necessary for the university's operations.

  6. What should be provided to vendors when using the DR-14 form?

    A copy of the Florida Consumer's Certificate of Exemption should be provided to vendors when making a purchase. This certificate confirms the exemption and must accompany the DR-14 form.

  7. Are there any restrictions on the use of the DR-14 form?

    Yes, there are restrictions. The form can only be used for purchases that benefit Indiana University. Any use for personal gain or for individuals associated with the university is strictly prohibited.

  8. What happens if the DR-14 form is misused?

    Misuse of the DR-14 form can lead to serious consequences, including potential audits and penalties. It is essential to adhere strictly to the guidelines set forth in Florida law to avoid any legal issues.

  9. Where can I find more information about the DR-14 form?

    Additional information can typically be found on the Florida Department of Revenue's website or through Indiana University's financial department. It is advisable to consult these resources for any updates or changes to the exemption process.

Common mistakes

Completing the Florida Certificate of Exemption (DR-14) is a crucial step for Indiana University to make tax-exempt purchases. However, mistakes can easily occur during this process. One common error is failing to provide accurate information about the purchaser. The form requires specific details about Indiana University, and any discrepancies can lead to complications with vendors.

Another frequent mistake involves misunderstanding the eligibility criteria. The DR-14 form is intended solely for purchases that benefit the University directly. Some individuals mistakenly think they can use the form for personal purchases or for the benefit of employees, which is not allowed. This misunderstanding can result in the denial of the exemption and potential tax liabilities.

Additionally, people often neglect to ensure that all purchases are invoiced and charged directly to Indiana University. If the payment is not processed through the University’s accounts, the exemption may be invalidated. It is essential that the payment methods align with the requirements outlined in the form.

Many users also overlook the importance of providing a copy of the Florida Consumer's Certificate of Exemption to vendors. This document serves as proof of the University’s tax-exempt status. Without it, vendors may not honor the exemption, leading to unnecessary tax charges.

Another mistake is not keeping accurate records of the purchases made using the DR-14 form. Maintaining documentation is vital for both internal audits and compliance with state regulations. Failing to document these transactions can create challenges if questions arise about the legitimacy of the purchases.

Some individuals may not fully understand the scope of what qualifies as a taxable service. Misinterpretation of taxable versus non-taxable items can lead to improper use of the exemption. It is crucial to review the guidelines carefully to avoid this pitfall.

Moreover, individuals sometimes forget to check the expiration date of the Florida Consumer's Certificate of Exemption. Using an expired certificate can result in complications and may require additional steps to rectify the situation.

Another common oversight is not consulting with the appropriate department or personnel before submitting the form. Engaging with the University’s financial or procurement office can provide clarity and help ensure that all requirements are met. This step can prevent costly errors and streamline the purchasing process.

Finally, a lack of training or understanding of the form’s requirements can lead to mistakes. It is beneficial for individuals involved in filling out the DR-14 form to receive proper training and resources. This preparation can help minimize errors and ensure compliance with Florida’s tax exemption regulations.

Documents used along the form

The DR-14 form, known as the Florida Certificate of Exemption, is a critical document for Indiana University to make tax-exempt purchases in Florida. However, several other forms and documents often accompany the DR-14 to ensure compliance with state regulations and facilitate smooth transactions. Here is a list of these related documents.

  • Florida Consumer's Certificate of Exemption: This document certifies that the organization is exempt from paying sales tax. It must be presented to vendors to validate the tax-exempt status during purchases.
  • Purchase Order (PO): A formal document issued by Indiana University to a vendor, indicating the types, quantities, and agreed prices for products or services. This helps in maintaining clear records of transactions.
  • Vendor Agreement: A contract that outlines the terms and conditions of the relationship between Indiana University and the vendor. It ensures that both parties understand their obligations and rights regarding the sale.
  • Invoices: These documents are issued by the vendor after a sale, detailing the products or services provided, along with the total amount due. Invoices must be carefully matched with purchase orders for accuracy.
  • Payment Authorization Form: This form is used to authorize payments to vendors. It ensures that funds are released only after verifying that goods or services have been received satisfactorily.
  • Tax Exemption Certificate: Similar to the DR-14, this certificate is specifically for certain types of purchases and may be required by vendors to confirm the tax-exempt status of the transaction.
  • Internal Requisition Form: This document is used internally within Indiana University to request the purchase of goods or services. It helps in tracking departmental needs and budget allocations.
  • Receiving Report: After goods are delivered, this report confirms that the items received match what was ordered. It is essential for ensuring that the university only pays for what it has actually received.

Each of these documents plays a vital role in the purchasing process for Indiana University, ensuring compliance with tax laws while facilitating efficient operations. By understanding and utilizing these forms, the university can maintain its tax-exempt status and manage its financial responsibilities effectively.

Similar forms

The DR-14 form serves as a Certificate of Exemption for Indiana University, allowing the institution to make purchases without incurring sales tax. Several other documents share similarities with the DR-14 form in terms of purpose and function. Below is a list of these documents:

  • Florida Consumer's Certificate of Exemption: This document allows businesses to purchase goods and services without paying sales tax, similar to how the DR-14 facilitates tax-exempt purchases for Indiana University.
  • Sales Tax Exemption Certificate: Used by various organizations, this certificate provides proof of tax-exempt status for purchases, akin to the DR-14's purpose for educational institutions.
  • IRS Form 501(c)(3) Determination Letter: This letter confirms an organization's tax-exempt status under the IRS, paralleling the DR-14's role in establishing Indiana University's exemption from sales tax.
  • State Tax Exemption Letter: Similar to the DR-14, this letter grants specific organizations permission to make tax-exempt purchases within a state.
  • Nonprofit Organization Certificate: This document certifies that an organization operates as a nonprofit, allowing it to benefit from tax exemptions like those provided by the DR-14.
  • Educational Institution Exemption Certificate: This certificate is issued to educational entities, permitting them to purchase goods and services without sales tax, just as the DR-14 does for Indiana University.
  • Government Purchase Order: This document allows government entities to make purchases without sales tax, similar to how the DR-14 functions for educational institutions.
  • Charitable Organization Exemption Application: This application allows charitable organizations to apply for tax-exempt status, reflecting the same principles as the DR-14 for educational purposes.
  • Vendor Exemption Certificate: Vendors use this certificate to confirm that a purchase is tax-exempt, aligning with the DR-14's intent to facilitate tax-free transactions for Indiana University.

Each of these documents serves to support tax-exempt purchases in various contexts, ensuring that eligible organizations can operate without the burden of sales tax.

Dos and Don'ts

When filling out the Florida Certificate of Exemption (DR-14) form, it is important to follow specific guidelines to ensure compliance. Below is a list of things you should and shouldn't do.

  • Do ensure that Indiana University is the direct purchaser and payer of record.
  • Do make purchases that are directly invoiced and charged to Indiana University.
  • Do pay for purchases directly using a check or credit card issued by Indiana University.
  • Do use the form only for purchases that benefit Indiana University.
  • Do ensure that the purchases are related to the work of the organization and the University’s exempt purpose.
  • Don't use the form for the benefit of any officer, member, or employee of Indiana University.
  • Don't submit the form without providing a copy of the Florida Consumer's Certificate of Exemption to vendors.
  • Don't make personal purchases using the DR-14 form.
  • Don't forget to keep records of all transactions made under this exemption.
  • Don't assume that all purchases qualify for the exemption without verifying their eligibility.

Misconceptions

Here are 10 misconceptions about the Florida Certificate of Exemption (DR-14) along with clarifications:

  1. Only certain items qualify for exemption. Many believe that only specific items can be purchased tax-free. In reality, as long as the purchase is for tangible personal property or taxable services for the University's use, it qualifies.
  2. Any employee can use the DR-14 form. This is incorrect. Only purchases made directly by Indiana University are eligible. Individual employees cannot use the form for personal purchases.
  3. The form can be used for personal benefit. This is a common misunderstanding. The DR-14 form is strictly for the University’s benefit, not for any individual officer, member, or employee.
  4. All vendors accept the DR-14 form. Not all vendors may recognize or accept the form. It is essential to confirm with vendors before making a purchase.
  5. Purchases can be made without proper documentation. This is false. A copy of the Florida Consumer's Certificate of Exemption must be provided to vendors to validate the tax exemption.
  6. The form can be used for services unrelated to the University. This is misleading. Services must be directly related to the work of the University to qualify for exemption.
  7. Any payment method is acceptable. Payments must be made directly by Indiana University, either via check or credit card, to qualify for the exemption.
  8. The DR-14 form is only for large purchases. This is not true. The form can be used for any qualifying purchase, regardless of size, as long as it meets the requirements.
  9. Exemptions apply to out-of-state purchases. This misconception is incorrect. The DR-14 form is valid only for purchases made within Florida.
  10. Once issued, the DR-14 form can be reused indefinitely. This is a misunderstanding. Each purchase requires a new issuance of the form to ensure compliance with tax regulations.

Key takeaways

When filling out and using the Florida Certificate of Exemption (DR-14), keep these key points in mind:

  • Direct Purchaser: Indiana University must be the direct purchaser and payer of record.
  • Payment Methods: Purchases must be invoiced and charged directly to Indiana University, and payments can be made via check or credit card.
  • University Benefit: All purchases made using Form DR-14 must solely benefit the University.
  • Restrictions: The form cannot be used for the benefit of any officer, member, or employee of Indiana University.
  • Purpose of Purchase: Items must be purchased for use in carrying out the work of the organization and must relate directly to the University’s exempt purpose.
  • Vendor Communication: Provide a copy of the Florida Consumer's Certificate of Exemption to vendors when making purchases.
  • Tax Exemption: The exemption applies to tangible personal property or taxable services purchased for the University.
  • Keep Records: Maintain proper documentation of all transactions made under this exemption for accountability.
  • Compliance: Ensure compliance with Florida statutes to avoid any potential issues or penalties.
  • Review Regularly: Regularly review the use of the DR-14 form to ensure it aligns with current University needs and state regulations.

Following these guidelines will help ensure that you utilize the DR-14 form correctly and efficiently.