Cf 1R Alt Hvac Template

Cf 1R Alt Hvac Template

The CF-1R Alt HVAC form is a crucial document used in California for residential HVAC alterations, specifically in Climate Zones 10 to 15. This form ensures compliance with the 2008 Building Energy Efficiency Standards, which set forth requirements for heating and cooling systems to promote energy efficiency and safety. Understanding how to properly fill out this form is essential for contractors to avoid potential penalties and ensure a smooth inspection process.

To learn more about the CF-1R Alt HVAC form and its requirements, fill out the form by clicking the button below.

Table of Contents

The CF 1R Alt HVAC form plays a crucial role in ensuring compliance with California's Building Energy Efficiency Standards, specifically for residential HVAC alterations in Climate Zones 10 to 15. This form is essential for contractors seeking to perform various HVAC modifications, including new installations, relocations, and significant ductwork changes. It outlines the necessary permits and compliance measures, emphasizing the importance of adhering to local building codes and regulations. Notably, failure to comply can lead to severe penalties, including fines and potential license suspension. The form also details specific efficiency requirements, such as minimum AFUE ratings for heating equipment and SEER ratings for air conditioning units. Furthermore, it mandates the use of setback thermostats and proper duct insulation values, ensuring that any new or replaced ducts meet established standards. HERS verification is another critical aspect, requiring specialized inspectors to confirm that the HVAC system operates efficiently and meets the outlined performance criteria. Each project must be accompanied by the appropriate documentation, including CF-6R and CF-4R forms, to facilitate final inspections. This comprehensive approach not only safeguards the integrity of HVAC installations but also promotes energy efficiency across residential properties.

Cf 1R Alt Hvac Sample

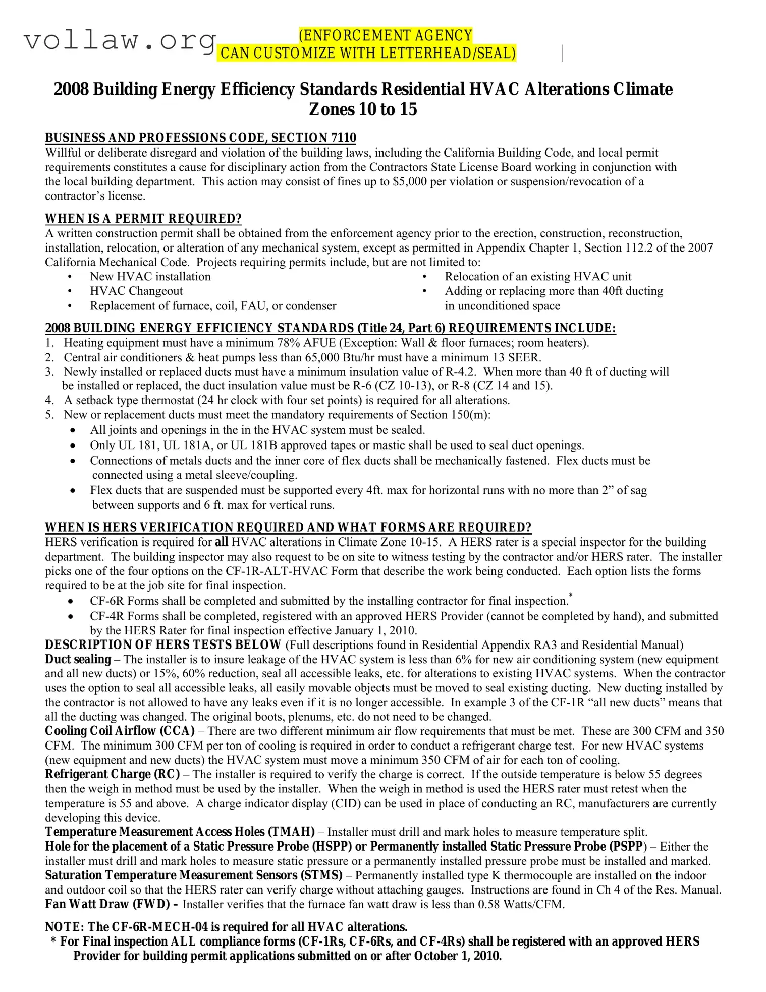
(ENFORCEMENT AGENCY
CAN CUSTOMIZE WITH LETTERHEAD/SEAL)
2008 Building Energy Efficiency Standards Residential HVAC Alterations Climate
Zones 10 to 15
BUSINESS AND PROFESSIONS CODE, SECTION 7110
Willful or deliberate disregard and violation of the building laws, including the California Building Code, and local permit
requirements constitutes a cause for disciplinary action from the Contractors State License Board working in conjunction with
the local building department. This action may consist of fines up to $5,000 per violation or suspension/revocation of a
contractor’s license.
WHEN IS A PERMIT REQUIRED?
A written construction permit shall be obtained from the enforcement agency prior to the erection, construction, reconstruction,
installation, relocation, or alteration of any mechanical system, except as permitted in Appendix Chapter 1, Section 112.2 of the 2007
California Mechanical Code. Projects requiring permits include, but are not limited to:
New HVAC installation
HVAC Changeout
Replacement of furnace, coil, FAU, or condenser
Relocation of an existing HVAC unit
Adding or replacing more than 40ft ducting
in unconditioned space
2008 BUILDING ENERGY EFFICIENCY STANDARDS (Title 24, Part 6) REQUIREMENTS INCLUDE:
1. Heating equipment must have a minimum 78% AFUE (Exception: Wall & floor furnaces; room heaters).
2. Central air conditioners & heat pumps less than 65,000 Btu/hr must have a minimum 13 SEER.
3. Newly installed or replaced ducts must have a minimum insulation value of R-4.2. When more than 40 ft of ducting will
be installed or replaced, the duct insulation value must be R-6 (CZ 10-13), or R-8 (CZ 14 and 15).
4. A setback type thermostat (24 hr clock with four set points) is required for all alterations.
5. New or replacement ducts must meet the mandatory requirements of Section 150(m):
All joints and openings in the in the HVAC system must be sealed.
Only UL 181, UL 181A, or UL 181B approved tapes or mastic shall be used to seal duct openings.
Connections of metals ducts and the inner core of flex ducts shall be mechanically fastened. Flex ducts must be
connected using a metal sleeve/coupling.
Flex ducts that are suspended must be supported every 4ft. max for horizontal runs with no more than 2” of sag
between supports and 6 ft. max for vertical runs.
WHEN IS HERS VERIFICATION REQUIRED AND WHAT FORMS ARE REQUIRED?
HERS verification is required for all HVAC alterations in Climate Zone 10-15. A HERS rater is a special inspector for the building
department. The building inspector may also request to be on site to witness testing by the contractor and/or HERS rater. The installer
picks one of the four options on the CF-1R-ALT-HVAC Form that describe the work being conducted. Each option lists the forms
required to be at the job site for final inspection.
CF-6R Forms shall be completed and submitted by the installing contractor for final inspection.
*
CF-4R Forms shall be completed, registered with an approved HERS Provider (cannot be completed by hand), and submitted
by the HERS Rater for final inspection effective January 1, 2010.
DESCRIPTION OF HERS TESTS BELOW (Full descriptions found in Residential Appendix RA3 and Residential Manual)
Duct sealing – The installer is to insure leakage of the HVAC system is less than 6% for new air conditioning system (new equipment
and all new ducts) or 15%, 60% reduction, seal all accessible leaks, etc. for alterations to existing HVAC systems. When the contractor
uses the option to seal all accessible leaks, all easily movable objects must be moved to seal existing ducting. New ducting installed by
the contractor is not allowed to have any leaks even if it is no longer accessible. In example 3 of the CF-1R “all new ducts” means that
all the ducting was changed. The original boots, plenums, etc. do not need to be changed.
Cooling Coil Airflow (CCA) – There are two different minimum air flow requirements that must be met. These are 300 CFM and 350
CFM. The minimum 300 CFM per ton of cooling is required in order to conduct a refrigerant charge test. For new HVAC systems
(new equipment and new ducts) the HVAC system must move a minimum 350 CFM of air for each ton of cooling.
Refrigerant Charge (RC) – The installer is required to verify the charge is correct. If the outside temperature is below 55 degrees
then the weigh in method must be used by the installer. When the weigh in method is used the HERS rater must retest when the
temperature is 55 and above. A charge indicator display (CID) can be used in place of conducting an RC, manufacturers are currently
developing this device.
Temperature Measurement Access Holes (TMAH) – Installer must drill and mark holes to measure temperature split.
Hole for the placement of a Static Pressure Probe (HSPP) or Permanently installed Static Pressure Probe (PSPP) – Either the
installer must drill and mark holes to measure static pressure or a permanently installed pressure probe must be installed and marked.
Saturation Temperature Measurement Sensors (STMS) – Permanently installed type K thermocouple are installed on the indoor
and outdoor coil so that the HERS rater can verify charge without attaching gauges. Instructions are found in Ch 4 of the Res. Manual.
Fan Watt Draw (FWD)Installer verifies that the furnace fan watt draw is less than 0.58 Watts/CFM.
NOTE: The CF-6R-MECH-04 is required for all HVAC alterations.
* For Final inspection ALL compliance forms (CF-1Rs, CF-6Rs, and CF-4Rs) shall be registered with an approved HERS
Provider for building permit applications submitted on or after October 1, 2010.
Simplified Prescriptive Certificate of Compliance: 2008 Residential HVAC Alterations CF-1R-ALT-HVAC
Climate Zones 10 to 15
2008 Residential Compliance Forms March 2010
Site Address:
Enforcement Agency: Date: Permit #:
Equipment Type
1
List Minimum Efficiency
2
Duct insulation requirement
Conditioned Floor
Area Thermostat
Packaged Unit
Furnace
Indoor Coil
Condensing Unit
Other ________
AFUE____
SEER_____
EER _____
COP______
HSPF ____
Resistance
Over 40 ft of ducts added or
replaced in unconditioned space
R 6 (CZ 10-13)
R 8 (CZ 14-15)
Served by system
________ sf
Setback
(If not already
present, must be
installed)
1. Equipment Type: Choose the equipment being installed; if more than one system, use another CF-1R-ALT-HVAC for each system.
2. Minimum Equipment Efficiencies: 13 SEER, 78% AFUE, 7.7HSPF for typical residential systems.
HERS VERIFICATION SUMMARY Listed below are four HVAC alteration Options. The installer decides what work is being done and
picks one of the appropriate Options. Each Option lists the HERS measures that must be conducted. A copy of the forms shall be left on site for final
inspection and a copy given to the homeowner. At final, the inspector verifies that the work listed on this form was in fact the work completed by the
installer. The inspector also verifies that each appropriate CF-6R and registered CF-4R forms (no hand filled CF-4Rs allowed) are filled out and
signed. Beginning October 1, 2010, a registered copy of the CF-1R and CF-6R shall also be on site for final inspection.
1. HVAC Changeout
Required Forms:
All HVAC Equipment replaced
CF-6R forms: MECH-04, MECH-21-HERS and (for split systems) MECH- 25-HERS
CF-4R forms: MECH- 21 and (for split systems) MECH-25
Condenser Coil and /or
Indoor Coil and /or
Furnace
CF-6R forms: MECH-21-HERS and (for split systems) MECH- 25-HERS
CF-4R forms: MECH- 21 and (for split systems) MECH-25
For Split Systems: Duct leakage < 15 percent; RC, CCA 300 CFM/ton(Minimum Air Flow Requirement), TMAH
For Packaged Units: Duct leakage < 15 percent
Exempted from duct leakage testing if:
1. Duct system was documented to have been previously sealed and confirmed through HERS verification, or
2. Duct systems with less than 40 linear feet in unconditioned space, or
3. Existing duct systems are constructed, insulated or sealed with asbestos
2. New HVAC System
Required Forms:
Cut in or Changeout with new
ducts: (all new ducting and
all
new equipment)
CF-6R forms: MECH-04, MECH-20-HERS,and (for split systems) MECH-22-HERS, and MECH-25-HERS
CF-4R forms: MECH 20-, and (for split systems)MECH-22, and MECH 25
For Split Systems: Duct leakage < 6 percent; RC, CCA 350 CFM/ton, FWD, TMAH, STMS, and either HSPP or PSPP.
For Packaged Units: Duct leakage < 6 percent
3. New Ducts with/or without Replacement Required Forms:
Includes replacing or installing all new ducting
and/or outdoor condensing unit and/or indoor coil
and/or furnace. No or some equipment changed.
CF-6R forms: MECH-04, MECH-20-HERS,and (for split systems) MECH-25-HERS
CF-4R forms: MECH-20 and (for split systems) MECH-25
For Split Systems: Duct leakage < 6 percent, RC, CCA 300 CFM/ton, TMAH
For Packaged Units: Duct leakage < 6 percent
4. New Ducting over 40 feet Required Forms:
Includes adding or replacing more than 40
linear feet of duct in unconditioned space.
CF-6R forms: MECH-04, MECH-21-HERS CF-4R forms: MECH-21
For split system or packaged units: Duct leakage < 15 percent
EXCEPTION: Existing duct systems constructed, insulated or sealed with asbestos.
Contractor (Documentation Author's /Responsible Designer's Declaration Statement)
I certify that this Certificate of Compliance documentation is accurate and complete.
I am eligible under Division 3 of the California Business and Professions Code to accept responsibility for the design identified on this Certificate of Compliance.
I certify that the energy features and performance specifications for the design identified on this Certificate of Compliance conform to the requirements of Title 24,
Parts 1 and 6 of the California Code of Regulations.
The design features identified on this Certificate of Compliance are consistent with the information documented on other applicable compliance forms, worksheets,
calculations, plans and specifications submitted to the enforcement agency for approval with the permit application.
Name: Signature:
Company:
Date:
Address:
License:
City/State/Zip: Phone:

Document Attributes

Fact Name Details
Governing Law California Business and Professions Code, Section 7110
Permit Requirement A permit is required for installation, relocation, or alteration of any mechanical system.
Climate Zones This form applies to Climate Zones 10 to 15.
Minimum Efficiency Heating equipment must have a minimum AFUE of 78% (exceptions apply).
Duct Insulation New or replaced ducts must have a minimum insulation value of R-4.2.
HERS Verification Required for all HVAC alterations in Climate Zones 10-15.
Required Forms CF-6R and CF-4R forms must be completed and submitted for final inspection.
Testing Requirements Installers must verify duct sealing, airflow, and refrigerant charge.
Final Inspection All compliance forms must be registered with an approved HERS Provider.

Cf 1R Alt Hvac: Usage Instruction

Filling out the CF-1R Alt HVAC form is essential for compliance with California's building energy efficiency standards. This process involves several steps that ensure all necessary information is accurately reported. Following these steps will help facilitate the permit application and final inspection processes.

  1. Obtain the CF-1R Alt HVAC form from the appropriate enforcement agency or their website.
  2. Fill in the site address where the HVAC work will take place.
  3. Enter the enforcement agency name responsible for the permit.
  4. Provide the date of the application.
  5. Input the permit number assigned to your project.
  6. Choose the equipment type being installed from the provided options.
  7. List the minimum efficiency ratings for each equipment type selected.
  8. Specify the conditioned floor area in square feet.
  9. Indicate the duct insulation requirement based on climate zone.
  10. Select the type of thermostat being installed, ensuring it meets the setback requirement.
  11. Choose one of the four HVAC alteration options that describes the work being conducted.
  12. Ensure all required forms, including CF-6R and CF-4R, are listed based on the selected option.
  13. Complete the Contractor Declaration Statement at the bottom of the form.
  14. Sign and date the form, providing your license number and contact information.

Frequently Asked Questions

  1. What is the CF-1R Alt HVAC form?

    The CF-1R Alt HVAC form is a compliance document used in California for residential HVAC alterations. It is part of the 2008 Building Energy Efficiency Standards, specifically for Climate Zones 10 to 15. This form outlines the required information about the HVAC system being installed or altered, including equipment type, efficiency ratings, and insulation requirements. It serves as a declaration that the work being done meets the necessary energy efficiency standards.

  2. When is a permit required for HVAC work?

    A written construction permit is required prior to the installation, alteration, or relocation of any mechanical system, including HVAC systems. Projects that necessitate a permit include:

    • New HVAC installations
    • Relocation of existing HVAC units
    • HVAC changeouts
    • Adding or replacing more than 40 feet of ducting
    • Replacement of components like furnaces, coils, or condensers in unconditioned spaces
  3. What are the energy efficiency requirements for HVAC systems?

    The 2008 Building Energy Efficiency Standards specify several requirements for HVAC systems. These include:

    • A minimum Annual Fuel Utilization Efficiency (AFUE) of 78% for heating equipment, with exceptions for wall and floor furnaces.
    • A minimum Seasonal Energy Efficiency Ratio (SEER) of 13 for central air conditioners and heat pumps under 65,000 Btu/hr.
    • Newly installed or replaced ducts must have a minimum insulation value of R-4.2, increasing to R-6 or R-8 depending on the climate zone.
    • A setback thermostat with four set points is required for all alterations.
  4. What is HERS verification and when is it required?

    Home Energy Rating System (HERS) verification is a process that ensures compliance with energy efficiency standards for HVAC alterations. It is required for all HVAC work in Climate Zones 10-15. A HERS rater, who acts as a special inspector, verifies that the installation meets the necessary standards. The installer must select one of the four options on the CF-1R-ALT-HVAC form, each of which specifies the required forms and measures for final inspection.

  5. What forms are necessary for final inspection?

    For final inspection, several forms must be completed and submitted:

    • CF-6R forms, which are completed by the installing contractor.
    • CF-4R forms, which must be registered with an approved HERS provider and submitted by the HERS rater.

    It is important to ensure that all compliance forms, including CF-1Rs, CF-6Rs, and CF-4Rs, are registered with an approved HERS provider for building permit applications submitted on or after October 1, 2010.

Common mistakes

Completing the CF-1R Alt HVAC form is crucial for ensuring compliance with California's energy efficiency standards. However, many individuals encounter pitfalls during this process. One common mistake is failing to select the appropriate option that accurately describes the work being conducted. Each option corresponds to specific requirements and forms, so choosing the wrong one can lead to complications during inspection.

Another frequent error involves neglecting to include all necessary supporting documents. For instance, the CF-6R and CF-4R forms must accompany the CF-1R for final inspection. If these forms are missing or incomplete, it can delay the approval process and may even result in fines or rework. It is vital to double-check that all required forms are filled out and available on-site.

People also often overlook the importance of providing accurate equipment efficiency ratings. The form requires specific minimum efficiencies, such as a 78% AFUE for heating equipment and a 13 SEER for air conditioners. Incorrectly reporting these values can lead to non-compliance and additional scrutiny from inspectors.

Inadequate attention to detail regarding duct insulation requirements is another mistake. The form specifies that newly installed or replaced ducts must meet certain insulation values based on climate zones. Failing to adhere to these standards can result in significant energy inefficiencies and may necessitate costly corrections.

Moreover, some individuals mistakenly assume that once they have completed the form, they are done. In reality, ongoing compliance is essential. For example, HERS verification is required for all HVAC alterations in specific climate zones. Ignoring this requirement can lead to severe penalties, including fines or license suspension.

Another common oversight is not ensuring that the installer is aware of the duct sealing requirements. The form stipulates that all joints and openings in the HVAC system must be sealed using approved materials. Failure to do so can lead to excessive air leakage, undermining the system's efficiency.

Additionally, individuals may forget to provide a proper signature and date on the form. This seemingly minor detail can cause significant delays in processing and may lead to the form being deemed invalid.

Lastly, some people fail to communicate effectively with their HERS rater. It is essential to understand that the HERS rater must complete and submit the CF-4R forms, and this cannot be done by hand. Miscommunication can result in critical delays or errors in the verification process.

Documents used along the form

The CF-1R Alt HVAC form is an essential document for HVAC alterations in specific climate zones. However, several other forms and documents are often used in conjunction with it to ensure compliance with building codes and energy efficiency standards. Each of these documents serves a unique purpose in the permitting and inspection process.

  • CF-6R Forms: These forms are completed by the installing contractor and submitted for final inspection. They provide detailed information about the HVAC equipment and ensure that the installation meets energy efficiency standards.
  • CF-4R Forms: These forms are required to be completed and registered with an approved HERS Provider. They must be submitted by the HERS Rater for final inspection and cannot be filled out by hand.
  • HERS Verification Summary: This summary outlines the specific HERS measures that must be conducted based on the type of HVAC alteration. It ensures that the work done aligns with energy efficiency requirements.
  • Cooling Coil Airflow (CCA) Requirements: This document specifies the minimum airflow requirements that must be met during installation. It ensures that the HVAC system operates efficiently.
  • Duct Sealing Verification: This form verifies that the HVAC system's ductwork has been sealed properly. It ensures that leakage is minimized, which is crucial for energy efficiency.
  • Refrigerant Charge (RC) Verification: This document confirms that the refrigerant charge in the system is correct. It is essential for the proper functioning of the HVAC system.
  • Temperature Measurement Access Holes (TMAH): This document outlines the requirements for drilling holes to measure temperature splits in the HVAC system, ensuring accurate assessments during inspections.
  • Fan Watt Draw (FWD) Verification: This form ensures that the furnace fan watt draw meets specified limits, contributing to the overall energy efficiency of the system.
  • Documentation Author's Declaration Statement: This statement certifies that the documentation is accurate and that the designer is responsible for the compliance of the HVAC system with relevant codes and regulations.

Understanding these forms and their purposes is vital for contractors and homeowners alike. Each document plays a critical role in ensuring that HVAC installations comply with local regulations and energy efficiency standards, ultimately leading to safer and more efficient homes.

Similar forms

The CF-1R Alt HVAC form is related to several other important documents in the HVAC field. Here are four documents that share similarities with it:

  • CF-6R Forms: These forms are required for final inspection and must be completed by the installing contractor. They outline the specific measures taken during the HVAC installation or alteration, similar to the CF-1R Alt HVAC form, which details the work being conducted.
  • CF-4R Forms: These forms must be registered with an approved HERS Provider and submitted by the HERS rater for final inspection. Like the CF-1R, they provide a summary of the work done and ensure compliance with energy efficiency standards.
  • HERS Verification Documentation: This documentation is essential for verifying compliance with energy efficiency measures. It parallels the CF-1R in that both are used to confirm that the HVAC system meets specific performance criteria before final approval.
  • Building Permit Applications: These applications are necessary before beginning any HVAC work. They share a common goal with the CF-1R form, which is to ensure that all work complies with local building codes and regulations.

Dos and Don'ts

When filling out the CF-1R Alt HVAC form, it's essential to follow specific guidelines to ensure compliance and avoid potential issues. Below is a list of dos and don'ts to keep in mind.

  • Do ensure all required forms are completed and available on-site for final inspection.
  • Do select the correct option that describes the work being conducted on the form.
  • Do verify that the equipment meets the minimum efficiency requirements specified in the guidelines.
  • Do make sure to seal all joints and openings in the HVAC system as required.
  • Do register all compliance forms with an approved HERS Provider if submitted after October 1, 2010.
  • Don't leave any sections of the form blank; all information must be filled out completely.
  • Don't use hand-filled CF-4R forms, as they are not accepted.
  • Don't forget to ensure that duct insulation values meet the required standards for your climate zone.
  • Don't assume that existing duct systems are exempt from testing without proper documentation.
  • Don't neglect to provide accurate contact information for the responsible designer or contractor on the form.

Misconceptions

There are several misconceptions about the CF-1R Alt HVAC form that can lead to confusion for contractors and homeowners alike. Here is a list of eight common misunderstandings:

  • A permit is not needed for HVAC alterations. Many believe that minor HVAC changes do not require a permit. However, a permit is required for most alterations, including new installations and significant duct changes.
  • All HVAC systems are exempt from HERS verification. Some think that HERS verification only applies to new systems. In reality, all HVAC alterations in Climate Zones 10-15 require HERS verification.
  • The CF-1R form can be filled out by hand. It is a common misconception that the CF-4R forms can be handwritten. These forms must be completed and registered with an approved HERS provider, and cannot be filled out by hand.
  • Only new equipment must meet efficiency standards. Some believe that only newly installed HVAC units need to comply with efficiency standards. However, any alterations made to existing systems also need to meet these requirements.
  • Sealing ducts is optional. Many assume that sealing duct joints and openings is not mandatory. In fact, all joints must be sealed, and specific approved materials must be used for sealing.
  • Insulation requirements are the same for all ducts. There is a misconception that all duct insulation must meet the same standards. Insulation values vary depending on the amount of ducting being installed or replaced, with different requirements for different climate zones.
  • The installer can choose any verification method. Some believe that installers have the freedom to select any verification method for refrigerant charge. However, specific methods must be used based on temperature conditions.
  • Final inspections are only about the installation. It is often thought that final inspections focus solely on the physical installation. In reality, inspectors also verify that all compliance forms are properly filled out and registered.

Key takeaways

When filling out and using the CF-1R Alt HVAC form, consider the following key takeaways:

  • A permit is necessary for various HVAC alterations, including new installations and significant changes to existing systems. Always check local regulations to confirm requirements.
  • Minimum efficiency standards must be met for heating and cooling equipment, including AFUE and SEER ratings, as specified in the 2008 Building Energy Efficiency Standards.
  • HERS verification is mandatory for all HVAC alterations in Climate Zones 10-15. Ensure that a HERS rater is involved in the process and that required forms are completed.
  • Specific forms must be submitted for final inspection, including CF-6R and CF-4R forms. Ensure these are filled out correctly and registered with an approved HERS Provider.
  • All HVAC systems must meet duct sealing and airflow requirements as outlined in the guidelines. This includes ensuring that duct leakage is minimized and airflow meets specified CFM standards.
  • Documentation must be accurate and complete. The contractor must certify that all information provided on the CF-1R form aligns with other compliance documents submitted to the enforcement agency.